Forum Płaska Ziemia

    • Zarejestruj się
    • Zaloguj się
    • Szukaj
    • Kategorie
    • Ostatnie
    • Tagi
    • Popularne
    • Użytkownicy
    • Grupy

    Maciejowy chaotyczny megawątek

    Kącik Płaskoziemcy
    10
    1492
    290376
    Załaduj więcej postów
    • Najpierw najstarsze
    • Najpierw najnowsze
    • Najwięcej głosów
    Odpowiedz
    • Odpowiedz, zakładając nowy temat
    Zaloguj się, aby odpowiedzieć
    Ten temat został usunięty. Mogą go zobaczyć tylko użytkownicy upoważnieni do zarządzania tematami.
    • M
      Maciej @Fizyk od czapy ostatnio edytowany przez

      @Fizyk-od-czapy napisał w Maciejowy chaotyczny megawątek:

      W rzeczywistej atmosferze zawsze będzie w jakimś stopniu płynne, więc w zasadzie masz rację.

      Oczywiście, że mam rację.
      I bardzo się dziwie Fizykowi, który "kombinuje jak łysy koń pod górę" tylko po to aby odrzucić fakty, a zachować dogmat o "zagięciu promienia w dół"

      A to zdaje się ja jestem tutaj oskarżany o "fanatyzm".

      @Fizyk-od-czapy napisał w Maciejowy chaotyczny megawątek:

      Bardzo skrajny przypadek, bo wzrost temperatury o 30° na przestrzeni 1.2 cm, a powyżej tych 1.2 cm temperatura znowu spada z wysokością... ale nawet bym się szczególnie nie zdziwił, jakby coś tego typu się zadziało po wpuszczeniu mroźnego powietrza do ciepłego pokoju:

      Przykro jest oglądać jak ktoś kto powinien akceptować fakty (czyli Fizyk- osoba mająca w zasadzie "obowiązek" nie ignorowania faktów przyrody) uparcie "idzie w zaparte", by ocalić dogmat.

      1. Po pierwsze: ilustracja oparta jest właśnie na braku continuum w symulatorze. Pomiędzy promieniem niebieskim (pierwszym od dołu) z tej mało zagiętej górnej wiązki, a promieniem niebieskim (pierwszym od góry) z tej dolnej mocno zagiętej części jest dowolnie wiele promieni i któryś z nich właśnie trafia tam gdzie trzeba.

      Tylko sprytna wizualizacja (nie mająca continuum w "rzucaniu promienia") próbuje zasugerować, że "jest jakaś luka".

      "Wzrokowiec", który jest na dodatek słabo myślący- pewnie się da zwieść.

      Ale "nie ze mną te sztuczki Bruner"!

      1. Po drugie:
        @Fizyk-od-czapy napisał w Maciejowy chaotyczny megawątek:

      Bardzo skrajny przypadek, bo wzrost temperatury o 30° na przestrzeni 1.2 cm, a powyżej tych 1.2 cm temperatura znowu spada

      Ech...
      Naprawdę w to wierzysz?
      "30 stopni"... jakich? Fahrenheita czy Celsiusza?

      1. Po trzecie: to jeszcze masz do zasymulowania "przez zagięcie w dół" odbicie, które występuje (patrz "długość tyczek"

      2. Po czwarte: to jeszcze masz do zasymulowania fakt, że stopniowe podnoszenie oka powoduje wyłanianie się od dołu obiektów.

      3. Po piąte: jeszcze masz do zasymulowania przez "zaginanie w dół" fakt, że po zamknięciu drzwi (zablokowaniu dopływu zimna- czyli powolne ustępowanie hipotetycznego "zagięcia w dół") obraz dolnych partii stopniowo wysuwa się od dołu

      itd.

      Wszystko to (punkty 3-5) jest oczywiste przy akceptacji faktu, że mamy do czynienia z zagięciem promienia w górę (najpewniej nie przez "stopniowe wyginanie", ale przez odbicie)

      No i oczywiście patrz początek: nie ma najmniejszego powodu do "braku widoczności" przy "zaginaniu promienia w dół"

      Fizyk od czapy 1 odpowiedź Ostatnia odpowiedź Odpowiedz Cytuj 0
      • M
        Maciej @Fizyk od czapy ostatnio edytowany przez

        @Fizyk-od-czapy napisał w Maciejowy chaotyczny megawątek:

        @Maciej Bardzo skrajny przypadek, bo wzrost temperatury o 30° na przestrzeni 1.2 cm, a powyżej tych 1.2 cm temperatura znowu spada z wysokością... ale nawet bym się szczególnie nie zdziwił, jakby coś tego typu się zadziało po wpuszczeniu mroźnego powietrza do ciepłego pokoju:
        test-warstwy.png

        Jeszcze jedna ważna sprawa.

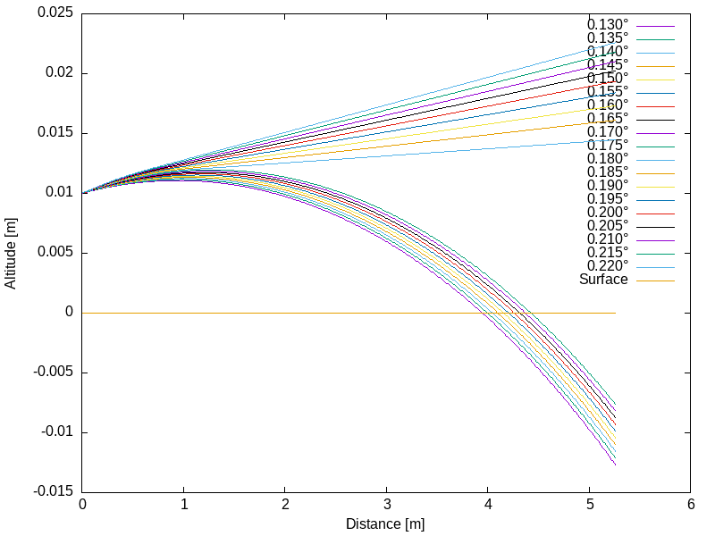
        WW ilustracja pokazuje przebieg promieni wedle Twojego modelu refrakcji ,wychodzących z punktu na wysokości 1 cm.
        Ale obiekty pokazane na filmie nie są "jednym punktem", lecz mają swoją wysokość.
        Wysokość tych części obiektów, które się chowają/znikają podczas obserwacji jest na pewno przynajmniej 0.5 cm (5 mm).

        To teraz: nie zmieniając ww warstwy wymyślonej przez siebie (owych 30 stopni F? C? gradientu/ na 1.2 cm ) zasymuluj zachowanie się promieni wychodzących z wyższych partii obiektów , np. od 0.01 do 0.015 metra ! (od 1 do 1.5 cm)

        Pozwól, że zgadnę: będą widoczne.

        Highlander 1 odpowiedź Ostatnia odpowiedź Odpowiedz Cytuj 0
        • Highlander
          Highlander @Maciej ostatnio edytowany przez

          @Maciej

          Cała ta dyskusja jest bez sensu.
          Jak wiemy, Ziemia jest globem, dowody mamy ze zdjęć satelitarnych, lotów Qantas i opłynięć Antarktydy.

          Aby to zanegować, @Maciej musi twierdzić, że NASA kłamie, geodeci kłamią, piloci kłamią, załoga Katharsis II kłamie, zdobywcy bieguna południowego kłamią.
          I jeszcze wielu innych, których nie chce mi się tu wymieniać.
          Cała reszta się nabiera i się myli.
          Refrakcja działa inaczej niż nauka mówi. Istnieje jakaś niewiadomojakpojebana optyka nieba, która powoduje, że widok nieba jest jak na kulistej ziemi.
          Parę innych założeń, które muszą być spełnione, aby Maciej wierzył w płaskoziemskie bzdury - brzmią jakby wprost od pacjentów psychiatryka:
          -sygnały tv sat i gps odbijane są od sklepienia nieba (tylko wtajemniczeni wiedzą jak to robić)
          -fale wysyłane przez krótkofalowców, również odbijają się od sklepienia nieba (ta sama tajna technologia co wyżej, ale udostępnili ją zwykłym ludziom xD)
          -ISS jest hologramem wyświetlanym na niebie, nawet na tarczy Słońca
          -księżyc nie jest fizycznym obiektem 3D, prawdopodobnie "nigdzie nie jest"

          Co jest bardziej prawdopodobne?
          Większość oszukuje/myli się a Maciej jest jednym z niewielu tych co znają prawdę?

          Czy może oficjalna nauka ma rację, a Maciej ma nie po kolei w głowie?

          Wydaje mi się, że brzytwa Ockhama daje odpowiedź...

          M 1 odpowiedź Ostatnia odpowiedź Odpowiedz Cytuj 0
          • M
            Maciej @Fizyk od czapy ostatnio edytowany przez

            @Fizyk-od-czapy napisał w Maciejowy chaotyczny megawątek:

            @Maciej Bardzo skrajny przypadek, bo wzrost temperatury o 30° na przestrzeni 1.2 cm, a powyżej tych 1.2 cm temperatura znowu spada z wysokością... ale nawet bym się szczególnie nie zdziwił, jakby coś tego typu się zadziało po wpuszczeniu mroźnego powietrza do ciepłego pokoju:
            test-warstwy.png

            To jeszcze jedna sprawa:
            Obiekt nie "wisi w powietrzu na wysokości 1 cm", ale stoi na podłodze.
            Rozważmy zachowanie promieni wychodzących np. z punktu na wysokości 0.5 cm.
            Z tego punktu (podobnie jak z każdego innego) wychodzi cała wiązka promieni, w każdym kierunku.
            [Nie tylko w takich kierunkach jak zaznaczone na ww rysunku].
            W każdym, czyli wychodzi także promień pionowy, biegnący po osi "Altidude".
            Ten promień wyjdzie z ww warstwy (wymyślonej przez Ciebie), bo jest po normalnej do warstwy, zgadza się?

            A zatem: z całą pewnością istnieje jakiś inny promień, który nie jest promieniem pionowym oraz nie jest jeszcze tak zagięty jak narysowane przez Ciebie promienie i który musi trafić w oko.

            Czyli, pozwól że zgadnę:
            Punkt na wys. 0.5 cm jest widoczny.

            Nie ma żadnego powodu dla którego "obiekt miałby się chować na płaszczyźnie, przy zagięciu promieni w dół".

            Sam fakt, że obiekty na płaskiej podłodze znikają dowodzi tego, że jest zagięcie promienia w górę.

            Oczywistość.

            1 odpowiedź Ostatnia odpowiedź Odpowiedz Cytuj 0
            • M
              Maciej @Highlander ostatnio edytowany przez

              @Highlander napisał w Maciejowy chaotyczny megawątek:

              Cała ta dyskusja jest bez sensu.

              "Bez sensu", bo nie idzie wam po waszej myśli?

              @Highlander napisał w Maciejowy chaotyczny megawątek:

              Jak wiemy, Ziemia jest globem, dowody mamy ze zdjęć satelitarnych, lotów Qantas i opłynięć Antarktydy.

              Ziemia nie jest "kulą ziemską". O czym możesz się przekonać samodzielnie przez obserwacje powierzchni ziemi.
              Przy okazji przekonując się o tym, że te wymienione przez Ciebie rzeczy nie są "dowodami na kulistość ziemi".

              @Highlander napisał w Maciejowy chaotyczny megawątek:

              Aby to zanegować, @Maciej musi twierdzić, że NASA kłamie, geodeci kłamią, piloci kłamią, załoga Katharsis II kłamie, zdobywcy bieguna południowego kłamią.
              I jeszcze wielu innych, których nie chce mi się tu wymieniać.

              W ogóle tego nie "muszę robić".
              To tylko wniosek, konsekwencja z obserwacji powierzchni ziemi, które świadczą o tym, że ziemia nie jest "kulą ziemską"

              @Highlander napisał w Maciejowy chaotyczny megawątek:

              Cała reszta się nabiera i się myli.

              Po pierwsze: czy to moja wina, że się mylą?
              Po drugie: ja też kiedyś należałem do tej "całej reszty".
              Ja jednak mam rozum otwarty na fakty.

              @Highlander napisał w Maciejowy chaotyczny megawątek:

              Refrakcja działa inaczej niż nauka mówi.

              No i co? Czy to moja wina?
              Czy to moja wina, że "nauka" myli się w kwestii refrakcji?
              No co ja na to poradzę, że fakty są takie jakie są?

              @Highlander napisał w Maciejowy chaotyczny megawątek:

              Istnieje jakaś niewiadomojakpojebana optyka nieba,

              No nie.
              Nie "niewiadomojakapojebana" tylko NIEZNANA.
              I "nieznana" nie musi wcale oznaczać, że "magiczna, zupełnie inna, niż na ziemi" (jak wy szydzicie/sugerujecie) tylko po prostu nieznana, taka której nie znamy, bo nie znamy budowy i działania nieba.

              Popatrz na niebo jak na nieznane urządzenie optyczne.
              Gdy widzisz efekt jakiegoś pokazu optycznego np. w jakimś "parku rozrywki" na ziemi, to TEŻ NIE ZNASZ OPTYKI urządzenia, które tworzy ten pokaz. Znasz tylko efekt wyjściowy- efekty świetlne.
              Czy zatem będziesz szydził "niewiadomojakapojebana optyka tego urządzenia"?

              Podobnie jest z niebem: jest jakimś urządzeniem optycznym, które tak wyświetla (pokazuje) światła nieba. I ma jakąś optykę, której nie znamy, bo nie wiemy co i jak jest w niebie.

              @Highlander napisał w Maciejowy chaotyczny megawątek:

              Parę innych założeń, które muszą być spełnione, aby Maciej wierzył w płaskoziemskie bzdury - brzmią jakby wprost od pacjentów psychiatryka:

              Przykro mi, ale to wy jesteście paranoikami.
              Dla paranoi cechą charakterystyczną są urojenia.
              Urojenie jest to fałszywy pogląd/przekonanie/teza, o "prawdziwości którego" mający urojenie jest "święcie przekonany".
              Cechą istotną urojenia jest nawet nie to, że paranoik ma fałszywe przekonanie. {Każdy ma jakieś fałszywe przekonania, każdy człowiek}
              Ale tym co decyduje o tym, że mamy do czynienia z paranoją i z urojeniem jest to, że paranoik nie wyzbywa się swego urojenia, nawet gdy skonfrontowany z faktami, które to przekonanie wykluczają.
              I wy tak właśnie macie. Dlatego cierpicie na paranoję.
              Jest to obłęd wielki, kosmiczno-liczbowy. Zrodzony z wpatrywania się w światła nieba i z nieodróżniania własnych domysłów na temat tych nieznanych świateł od faktów.

              @Highlander napisał w Maciejowy chaotyczny megawątek:

              Co jest bardziej prawdopodobne?
              Większość oszukuje/myli się a Maciej jest jednym z niewielu tych co znają prawdę?

              Prawdy nie poznaje się przez "liczenie głosów poparcia", ale przez BADANIE FAKTÓW.

              Użyjmy analogii:
              Niejaki Kopernik (który oczywiście się mylił, ale waszym zdaniem "miał rację") też był kiedyś w mniejszości.

              M N Highlander 2 odpowiedzi Ostatnia odpowiedź Odpowiedz Cytuj 0
              • M N
                M N @Maciej ostatnio edytowany przez M N

                @Maciej Maciuś, te twoje urojenia już na nikim nie robią wrażenia. Chyba w całym internecie zostało ci już tylko to jedno miejsce, gdzie możesz swobodnie rzygać swoim hejtem na świat, i nawet w "swoich" "obserwacjach", które tu linkujesz schodzić na coraz niższy poziom.
                Tymczasem fakty są takie, że nie dosyć, że twoja "nieznana optyka" nieba nad magicznym naleśnikiem działa tak jak w rzeczywistym świecie znana optyka nieba nad kulistą Ziemią, to jeszcze również twoja urojona "refrakcja w górę" nad płaszczyzną daje te same wyniki co rzeczywista refrakcja na kulistej Ziemi. I możesz tutaj odwracać kota ogonem do usranej śmierci, ale nigdy tym nie zmienisz kolejnego faktu, że nauka na poziomie obserwacyjnym, modelowym, matematycznym ma to wszystko już od dawna obcykane, pomierzone, opisane matematycznie i regularnie uzyskuje sprawdzalne i powtarzalne rezultaty, a z twojej strony od lat płynie ten sam potok urojeń i kłamstw bez żadnego sprawdzalnego argumentu - najwyżej filmiki od kogoś innego albo jakieś twoje zdjęcia, które w ostatecznie i tak potwierdzają to co nauka od dawna wie: 1) ciśnienie w atmosferze rośnie w dół bo grawitacja, 2) światło w atmosferze z zasady ugina się w kierunku gęstszej warstwy, 3) im niższa temperatura danej warstwy tym większa jej gęstość. Punkty 2 i 3 pięknie potwierdza twoje zdjęcie fugi nad rozgrzaną maską twojego samochodu 😂
                Fuga Macieja.jpeg
                jak również wpuszczenie zimnego powietrza w tym twoim przykładzie - no chyba, że teraz zaczniesz twierdzisz, że wpływające do ciepłego mieszkania zimne powietrze nie idzie dołem przy podłodze 😂 :
                https://www.youtube.com/watch?v=YG40kkbh734
                Co do tego filmiku to mam tylko jedno pytanie: jak by to wyglądało gdyby to nie kamera ale te klocki były tak blisko drzwi, którymi wpuszczono zimne powietrze z zewnątrz 😂 ?

                M 1 odpowiedź Ostatnia odpowiedź Odpowiedz Cytuj 0
                • Highlander
                  Highlander @Maciej ostatnio edytowany przez Highlander

                  @Maciej napisał w Maciejowy chaotyczny megawątek:

                  @Highlander napisał w Maciejowy chaotyczny megawątek:

                  Cała ta dyskusja jest bez sensu.

                  "Bez sensu", bo nie idzie wam po waszej myśli?

                  Co nam nie idzie? Nam nie musi nic "iść", bo to nie my próbujemy podważać konsensus naukowy.
                  Coś się zmieniło i nagle ziemia jest płaska?
                  Przypomnij się za 10 lat, również nic w tym temacie się nie zmieni.

                  @Highlander napisał w Maciejowy chaotyczny megawątek:

                  Jak wiemy, Ziemia jest globem, dowody mamy ze zdjęć satelitarnych, lotów Qantas i opłynięć Antarktydy.

                  Ziemia nie jest "kulą ziemską". O czym możesz się przekonać samodzielnie przez obserwacje powierzchni ziemi.
                  Przy okazji przekonując się o tym, że te wymienione przez Ciebie rzeczy nie są "dowodami na kulistość ziemi".

                  Dalej proponuję ci, abyś jednak poleciał tym Qantasem 😄

                  @Highlander napisał w Maciejowy chaotyczny megawątek:

                  Aby to zanegować, @Maciej musi twierdzić, że NASA kłamie, geodeci kłamią, piloci kłamią, załoga Katharsis II kłamie, zdobywcy bieguna południowego kłamią.
                  I jeszcze wielu innych, których nie chce mi się tu wymieniać.

                  W ogóle tego nie "muszę robić".
                  To tylko wniosek, konsekwencja z obserwacji powierzchni ziemi, które świadczą o tym, że ziemia nie jest "kulą ziemską"

                  Myślę jednak że musisz.
                  W moim życiu pewnie nic by się nie zmieniło w zależności od kształtu ziemi, czy też istnienia albo nieistnienia Boga.
                  Natomiast twój świat by się załamał, gdyby się okazało, że nie jest jak w Biblii.
                  W ogóle nie chodzi Ci o ustalenie stanu faktycznego, bo jeśli wyszłoby że Biblia nie mówi prawdy, to... pewnie nie jesteś w stanie sobie wyobrazić, co by się stało w twoim umyśle.

                  @Highlander napisał w Maciejowy chaotyczny megawątek:

                  Refrakcja działa inaczej niż nauka mówi.

                  No i co? Czy to moja wina?
                  Czy to moja wina, że "nauka" myli się w kwestii refrakcji?
                  No co ja na to poradzę, że fakty są takie jakie są?

                  Ja bym napisał do jakiegoś poważnego pisma naukowego, dokonałbyś przełomu w nauce...

                  @Highlander napisał w Maciejowy chaotyczny megawątek:

                  Istnieje jakaś niewiadomojakpojebana optyka nieba,

                  No nie.
                  Nie "niewiadomojakapojebana" tylko NIEZNANA.
                  I "nieznana" nie musi wcale oznaczać, że "magiczna, zupełnie inna, niż na ziemi" (jak wy szydzicie/sugerujecie) tylko po prostu nieznana, taka której nie znamy, bo nie znamy budowy i działania nieba.

                  Popatrz na niebo jak na nieznane urządzenie optyczne.
                  Gdy widzisz efekt jakiegoś pokazu optycznego np. w jakimś "parku rozrywki" na ziemi, to TEŻ NIE ZNASZ OPTYKI urządzenia, które tworzy ten pokaz. Znasz tylko efekt wyjściowy- efekty świetlne.
                  Czy zatem będziesz szydził "niewiadomojakapojebana optyka tego urządzenia"?

                  Tak, będę się z tego nabijał, bo nic nie wskazuje, żeby ta "optyka nieba" taka miała być...

                  Podobnie jest z niebem: jest jakimś urządzeniem optycznym, które tak wyświetla (pokazuje) światła nieba. I ma jakąś optykę, której nie znamy, bo nie wiemy co i jak jest w niebie.

                  Jak będziesz następnym razem rozmawiał z Bogiem, to nie możesz go spytać, jak jest naprawdę? Może niech ci wyśle schemat tej optyki na maila...

                  M 1 odpowiedź Ostatnia odpowiedź Odpowiedz Cytuj 0
                  • Highlander
                    Highlander @Maciej ostatnio edytowany przez

                    @Maciej napisał w Maciejowy chaotyczny megawątek:

                    Nie wiem co to "żółte papiery".

                    Powiedzenie, że ktoś ma “żółte papiery”, to dawniej stosowany eufemizm wobec osoby leczonej psychiatrycznie, w domyśle, że ta osoba jest niepoczytalna.

                    Nie bierz wszystkiego do siebie. To, że Słowo Boże wymienia wszystko (co ich oddzieliło od Boga) to nie znaczy, że "każde z wymienionych dotyczy każdego".
                    Naprawdę to wymaga tłumaczenia?
                    A przecież podobnoś "inteligentny"!
                    [Tobie zarzuca zamiłowanie do czarów (które Ty nazywasz "wiedzą i nauką") oraz nierząd, nieczystość.]

                    Nie wiem dlaczego na to wcześniej nie odpisałem...

                    Cytuję to co napisałeś:
                    "[Tobie zarzuca zamiłowanie do czarów (które Ty nazywasz "wiedzą i nauką") oraz nierząd, nieczystość.]"

                    Nie słyszałem żeby cokolwiek takiego mi Bóg zarzucał.
                    To gówno pochodzi z twojej głowy...
                    Oczywiście z tzw. "ostrożności procesowej" nie zarzucasz mi tego wprost, tylko niby posługujesz się "słowem bożym".

                    Ja jestem generalnie pokojowym człowiekiem.
                    Nigdy wcześniej nie spotkałem w swoim życiu, ani prywatnym, ani zawodowym, ani nawet w internecie kogoś tak podłego jak Ty.
                    Jesteś obrzydliwym chamem.

                    1 odpowiedź Ostatnia odpowiedź Odpowiedz Cytuj 0
                    • M
                      Maciej @M N ostatnio edytowany przez

                      @M-N napisał w Maciejowy chaotyczny megawątek:

                      Maciuś, te twoje urojenia już na nikim nie robią wrażenia.

                      Jesteś "rzecznikiem wszystkich"? Mówisz "w imieniu wszystkich ludzi"?
                      Jeśli tak, to przedziwna sprawa.

                      @M-N napisał w Maciejowy chaotyczny megawątek:

                      Chyba w całym internecie zostało ci już tylko to jedno miejsce,

                      Jest to prawda. Na ateista.pl i na discordzie zostałem zbanowany, bo też tam dyskusja ze mną "nie szła tak jak powinna iść".
                      Bojąc się faktów i argumentów pomagacie sobie kneblem.
                      Szczycicie się tym? Jesteście dumni z cenzurowania i kneblowania?

                      @M-N napisał w Maciejowy chaotyczny megawątek:

                      co rzeczywista refrakcja na kulistej Ziem

                      Ziemia nie jest "kulą ziemską". Wykluczają to obserwacje powierzchni ziemi.

                      @M-N napisał w Maciejowy chaotyczny megawątek:

                      nauka na poziomie obserwacyjnym, modelowym, matematycznym ma to wszystko już od dawna obcykane, pomierzone, opisane matematycznie i regularnie uzyskuje sprawdzalne i powtarzalne rezultaty,

                      Model stosowany np. przez Fizyka to jak najbardziej naukowy model, oparty na "osiągnięciach nauki"
                      (reguła Fermata i inne zależności rzekomo "pewne")
                      I daje fałszywe przewidywania. Zarówno ilościowe, jak i nawet co do kierunku refrakcji.
                      Takie jest to "obcykanie".

                      W kwestii kształtu ziemi: naukowcy nawet tego nie zauważyli, że wyprowadzanie kształtu ziemi ze świateł nieba, bez znajomości nieba (jego optyki) to nonsens.
                      Takie jest to "obcykanie".

                      @M-N napisał w Maciejowy chaotyczny megawątek:

                      jak również wpuszczenie zimnego powietrza w tym twoim przykładzie - no chyba, że teraz zaczniesz twierdzisz, że wpływające do ciepłego mieszkania zimne powietrze nie idzie dołem przy podłodze :

                      W tym przykładzie refrakcja jest w górę. Wynika to z samego obrazu.
                      "Obcykane" modele dają przewidywania odwrotne.
                      Takie to jest to "obcykanie" nauki.

                      Światło w powietrzu z zasady zagina się w górę, od ziemi. Tak pokazują obserwacje.
                      Oprócz tego faktu (że zagina się od ziemi) niewiele wiemy i niewiele rozumiemy w kwestii refrakcji światła w powietrzu.
                      Wymaga to dalszych badań.

                      @M-N napisał w Maciejowy chaotyczny megawątek:

                      Co do tego filmiku to mam tylko jedno pytanie: jak by to wyglądało gdyby to nie kamera ale te klocki były tak blisko drzwi, którymi wpuszczono zimne powietrze z zewnątrz ?

                      Zapytaj "obcykanych". Np. Fizyka. Na pewno Ci "objaśni".

                      M N 1 odpowiedź Ostatnia odpowiedź Odpowiedz Cytuj 0
                      • M
                        Maciej @Highlander ostatnio edytowany przez

                        @Highlander napisał w Maciejowy chaotyczny megawątek:

                        Co nam nie idzie?

                        Przegrywacie. Nie macie argumentów.

                        @Highlander napisał w Maciejowy chaotyczny megawątek:

                        bo to nie my próbujemy podważać konsensus naukowy.

                        Szczycicie się tym, że nie dociekacie prawdy tylko jesteście papugami powtarzającymi te błędy, którymi was zainfekowano?
                        Szczycicie się opornością na fakty?

                        @Highlander napisał w Maciejowy chaotyczny megawątek:

                        Coś się zmieniło i nagle ziemia jest płaska?

                        Oczywiście, że nic się nie zmieniło. Ciągle jest taka sama. Na pewno nie jest "kulą ziemską". Prawdopodobnie jest płaska.

                        @Highlander napisał w Maciejowy chaotyczny megawątek:

                        Przypomnij się za 10 lat, również nic w tym temacie się nie zmieni.

                        Zmieni się. Systematycznie wzrastać będzie liczba takich ludzi jak ja. Obudzonych, myślących.
                        Będzie większa liczba obserwacji i większe zrozumienie tych kwestii przez nas (rozumnych, obudzonych). Trudniej będzie wam zbywać i wyszydzać. Zaczniecie się coraz częściej odwoływać do bezpośrednich prześladowań (utrudnianie życia, przymusowe "leczenia" itp)
                        Ziemia oczywiście nie zmieni kształtu.
                        Ale mówię o wojnie światopoglądowej.
                        "Wojna światów" (mojego i Twojego) będzie się nasilać.
                        Aż w końcu (po kilku pokoleniach) wy polegniecie ostatecznie, bo bronicie fałszu, przegranej sprawy.

                        @Highlander napisał w Maciejowy chaotyczny megawątek:

                        Dalej proponuję ci, abyś jednak poleciał tym Qantasem

                        A po co?
                        Wystarczy wyjść w teren i badać czy istnieje "krzywizna powierzchni ziemi" zgodna z krzywizną "kuli ziemskiej"

                        @Highlander napisał w Maciejowy chaotyczny megawątek:

                        Natomiast twój świat by się załamał, gdyby się okazało, że nie jest jak w Biblii.

                        Nie może się tak okazać. Bo jest właśnie tak (jak w Biblii).
                        Od 2 tysiącleci budowaliście system światopoglądowy sprzeczny z Biblią. A on w ciągu kilku pokoleń runie. I okaże się, że jest tak jak Biblia mówiła.
                        Wasze urojenia już się zaczynają chwiać.
                        I Ty dobrze to wyczuwasz spierając się ze mną.

                        Jesteście bowiem pozerami. Pozorujecie, że "nic się nie dzieje", a w rzeczywistości intrygują was i niepokoją te wszystkie fakty, które np. ja wam pokazuje. Burzą wam wasz "spokój"
                        Taka jest prawda.

                        @Highlander napisał w Maciejowy chaotyczny megawątek:

                        Ja bym napisał do jakiegoś poważnego pisma naukowego, dokonałbyś przełomu w nauce..

                        To napisz. Możesz wziąć moje obserwacje i nie moje, te które przedstawiam i napisać.
                        Możesz napisać tak: "są tacy, którzy twierdzą.... i pokazują to... i tamto. Jak się do tego odnosi nauka?"

                        Jesteś bardzo naiwny.
                        Bo nie rozumiesz, że "beton" jest właśnie głównie w kręgach "naukowych".
                        To naukowcy się mylą.
                        Jakże więc "napisanie do naukowców" może coś zmienić?
                        Ogarnij się!

                        [Jakbyś napisał do Hitlera "Szanowny Panie Hitlerze Pan jesteś w błędzie" to on by Ci przyklasnął?]

                        Trzeba budować własną naukę, Prawdziwą Naukę. A ona kiedyś się zetrze i zmiażdży tę, która teraz okupuje uniwersytety.

                        Znów odwołajmy się do Kopernika, który się oczywiście mylił, ale wy uważacie, że "miał rację".
                        Czy jak Kopernik napisał swoje dzieło, to "wszyscy natychmiast i od razu klaskali tak tak Panie Koperniku, ach Panie Koperniku"?

                        Przebijanie się idei, która burzy i niszczy urojenia, którymi żyją współczesne uniwersytety też wymaga czasu, kilku pokoleń. Nic nie zmienia się "pstryk i już".
                        Ale oporność w głowach jest olbrzymia, zwłaszcza w głowach które dorobiły się i zdobyły "sławę" na pisaniu i pokazywaniu "kuli ziemskiej".
                        A takie głowy władają dzisiejszymi uniwersytetami.

                        Trzeba prowadzić własne badania, pokazywać rzetelne i naukowe obserwacje, publikować je i niech się "naukowcy" z tym mierzą!
                        I to będzie robione. Już jest. Ale to się dopiero rozkręca.

                        Highlander 2 odpowiedzi Ostatnia odpowiedź Odpowiedz Cytuj 0
                        • M N
                          M N @Maciej ostatnio edytowany przez

                          @Maciej napisał w Maciejowy chaotyczny megawątek:

                          Jesteś "rzecznikiem wszystkich"? Mówisz "w imieniu wszystkich ludzi"?
                          Jeśli tak, to przedziwna sprawa.

                          Nie tak dziwna jak to, że będąc w wieku jakim jesteś nie znasz znaczenia wyrażenia "mieć żółte papiery" 😂 . Tak dziecinny unik to jak bezpośrednie przyznanie się.

                          Model stosowany np. przez Fizyka to jak najbardziej naukowy model, oparty na "osiągnięciach nauki"

                          (reguła Fermata i inne zależności rzekomo "pewne")

                          I daje fałszywe przewidywania.

                          To kolejne twoje kłamstwo nie poparte żadnym sprawdzalnym, powtarzalnym dowodem, lub jak to zwie w tojej chorobie umysłowej: fałszywe świadectwo.

                          Chyba w całym internecie zostało ci już tylko to jedno miejsce,
                          Jest to prawda. Na ateista.pl i na discordzie zostałem zbanowany

                          Nie wiem za co zostałeś zbanowany na ateiście i w ogóle mnie to nie obchodzi. Widzę 2 potencjalne powody: 1) ludzie mieli po prostu dosyć użerania się z tak zakłamanym idiotą, 2) może tam też komuś groziłeś rychłą śmiercią, 3) konkretnie rzygnąłeś tam swoim fanatyzmem religijnym, rasizmem i ogólnie nienawiścią do konkretnych nacji czy grup społecznych - tak jak to zrobiłeś na diskordzie, gdzie ban był w pełni zasłużony.
                          Nauczony przykrym doświadczeniem starasz się tutaj kontrolować - co praktycznie ci się nie udaje - i tak za każdym razem jak kończą ci się kłamstwa uciekasz w pozę niedorobionego inkwizytora co wypadł diabłu spod ogona 😂
                          Twoja obecność tutaj to - dla mnie - rozrywka kosztem wiejskiego przygłupa, który patologicznie kłamie ludziom w żywe oczy (patrz twoja odpowiedź Fizykowi, którą ci wytknąłem) a potem, jak ostatnia świnia bez krztyny honoru i godności osobistej kontynuuje swoje kłamstwa jak gdyby nigdy nic 😂 .

                          jak również wpuszczenie zimnego powietrza w tym twoim przykładzie - no chyba, że teraz zaczniesz twierdzisz, że wpływające do ciepłego mieszkania zimne powietrze nie idzie dołem przy podłodze :

                          W tym przykładzie refrakcja jest w górę. Wynika to z samego obrazu.

                          Ty jednak nie potrafisz nie kłamać.
                          https://www.youtube.com/watch?v=YG40kkbh734
                          Klocki i niebieska wanienka stoją w kuchni - wystarczy zwrócić
                          uwagę na meble z tyłu i po bokach w 0:29. Kamera jest w korytarzu wejściowym a żeby było zabawniej przed samą kamerą jest próg - taka płaska proteza krzywizny Ziemi 😂 . Zimne, a więc gęściejsze, powietrze idzie dołem od kamery uginając światło BARDZIEJ w dół, więc prożek, który był bliżej kamery i otwartych drzwi wejściowych pozornie uniósł się do góry zasłaniając klocki, i co zabawne a czego nie zauważyłeś - do góry uniosły się również górne końce "masztów" na tych klockach. Jest to kolejne obserwacyjne potwierdzenie, że światło w atmosferze zawsze ugina się w kierunku gęstszej (zimniejszej) warstwy. Tak samo jak twoje zdjęcie fugi nad rozgrzaną maską twojego samodu:
                          Fuga Macieja.jpeg

                          M 1 odpowiedź Ostatnia odpowiedź Odpowiedz Cytuj 0
                          • M
                            Maciej @M N ostatnio edytowany przez

                            @M-N napisał w Maciejowy chaotyczny megawątek:

                            Ty jednak nie potrafisz nie kłamać.
                            https://www.youtube.com/watch?v=YG40kkbh734
                            Klocki i niebieska wanienka stoją w kuchni - wystarczy zwrócić
                            uwagę na meble z tyłu i po bokach w 0:29.

                            To wszystko jest od rzeczy.
                            To czy refrakcja jest w górę, czy w dół poznaje się z obrazu, a nie po tym "gdzie jest wanienka".

                            @M-N napisał w Maciejowy chaotyczny megawątek:

                            a żeby było zabawniej przed samą kamerą jest próg

                            No i co?
                            Kamera patrzy nad progiem.

                            @M-N napisał w Maciejowy chaotyczny megawątek:

                            Zimne, a więc gęściejsze, powietrze idzie dołem od kamery uginając światło BARDZIEJ w dół, więc prożek, który był bliżej kamery i otwartych drzwi wejściowych pozornie uniósł się do góry zasłaniając klocki, i

                            Jesteś idiotą.
                            Obraz nie może zasłaniać obrazu. Promień światła nie może "zasłaniać innego promienia światła". Mogą się najwyżej nakładać.
                            [Wtedy widać dwa nakładające się obrazy].
                            Próg mógłby zasłonić gdyby się naprawdę uniósł.

                            @M-N napisał w Maciejowy chaotyczny megawątek:

                            Jest to kolejne obserwacyjne potwierdzenie, że światło w atmosferze zawsze ugina się w kierunku gęstszej (zimniejszej) warstwy.

                            Przykro mi.
                            Zniknięcie podstawy obiektów na płaskiej podłodze nie jest możliwe przy "zaginaniu promieni w dół".

                            Jesteście żałośni w swojej nędzy, w zaprzeczaniu faktom i oczywistościom.

                            Highlander M N 2 odpowiedzi Ostatnia odpowiedź Odpowiedz Cytuj 0
                            • Highlander
                              Highlander @Maciej ostatnio edytowany przez

                              @Maciej napisał w Maciejowy chaotyczny megawątek:

                              Jesteś idiotą.
                              Obraz nie może zasłaniać obrazu. Promień światła nie może "zasłaniać innego promienia światła". Mogą się najwyżej nakładać.
                              [Wtedy widać dwa nakładające się obrazy].
                              Próg mógłby zasłonić gdyby się naprawdę uniósł.

                              No chyba, że to obraz ISS wyświetlany na tle tarczy słońca za pomocą magicznej technologii.
                              Wtedy może zasłaniać 😄

                              M 1 odpowiedź Ostatnia odpowiedź Odpowiedz Cytuj 1
                              • M N
                                M N @Maciej ostatnio edytowany przez M N

                                @Maciej napisał w Maciejowy chaotyczny megawątek:

                                https://www.youtube.com/watch?v=YG40kkbh734
                                Klocki i niebieska wanienka stoją w kuchni - wystarczy zwrócić
                                uwagę na meble z tyłu i po bokach w 0:29.

                                To wszystko jest od rzeczy.
                                To czy refrakcja jest w górę, czy w dół poznaje się z obrazu, a nie po tym "gdzie jest wanienka".

                                Ten opis miał jedynie zwrócić twoją uwagę na rozmieszczenie kamery, progu i klocków w kontekście napływającego dołem zimnego powietrza - od kamery w kierunku klocków.

                                @Maciej napisał w Maciejowy chaotyczny megawątek:

                                a żeby było zabawniej przed samą kamerą jest próg

                                No i co?
                                Kamera patrzy nad progiem.

                                A to, że próg "spiętrzył" warstwę zimnego, gęściejszego powietrza przed nim (tak czy nie, kłamco?), co spowodowało silniejszą refrakcję w dół przed progiem, bezpośrednio nad nim, zaraz za nim i jego pozorne uniesienie w górę i słabszą refrakcję w dół za progiem, bo za nim warstwa zimnego powietrza była już o wiele cieńsza, choćby dlatego że miała o wiele większą powierzchnię kuchni do pokrycia niż w wąskim korytarzu wejściowym przed progiem, gdzie stała kamera. To naprawdę są proste rzeczy do zrozumienia i jedynym idiotą jesteś ty, skoro bezmyślnie im zaprzeczasz 😂 .

                                @Maciej napisał w Maciejowy chaotyczny megawątek:

                                Obraz nie może zasłaniać obrazu. Promień światła nie może "zasłaniać innego promienia światła". Mogą się najwyżej nakładać.

                                I kto tu wymyślił nakładanie? Patologiczny kłamca Maciuś. Po prostu światło z obszaru PRZED klockami i odbite od podstaw klocków nie jest odpowiednio ugięte w dół w cieńszej warstwie gęstszego powietrza, żeby dotrzeć do tak umieszczonej kamery - i wizualnie ten fragment podłogi jest nieobecny w polu widzenia kamery. Kiedy temperatura w pionie powietrza się wyrównuje to w kamerze stopniowo pojawiają się z powrotem i klocki i podłoga przed nimi (bo mocno ugięte światło z obszaru progu zmniejszyło swoje zakrzywienie - kolejny obserwacyjny dowód na to, że światło tym silniej ugina się w dół im zimniejsze, gęściejsze powietrze przy powierzchni. Kolejna prosta rzecz, który taki samozwańczy "very expert" od refrakcji powinien być w stanie zrozumieć. I podejrzewam, że w rzeczywistości jesteś, tylko musisz kłamać, żeby swój obłęd karmić 😂 .
                                Przypominam- twoje zdjęcie fugi nad rozgrzaną maską twojego samochodu również to potwierdza - wystarczyło mieć tylko odrobinę uczciwości wobec samego siebie, zgasić silnik i robić zdjęcia tej fugi aż maska ostygnie 😂 :
                                Fuga Macieja.jpeg

                                M 1 odpowiedź Ostatnia odpowiedź Odpowiedz Cytuj 0
                                • Highlander
                                  Highlander @Maciej ostatnio edytowany przez

                                  @Maciej napisał w Maciejowy chaotyczny megawątek:

                                  @Highlander napisał w Maciejowy chaotyczny megawątek:

                                  Ja bym napisał do jakiegoś poważnego pisma naukowego, dokonałbyś przełomu w nauce..

                                  To napisz. Możesz wziąć moje obserwacje i nie moje, te które przedstawiam i napisać.
                                  Możesz napisać tak: "są tacy, którzy twierdzą.... i pokazują to... i tamto. Jak się do tego odnosi nauka?"
                                  Jesteś bardzo naiwny.'

                                  Nie jestem naiwny, tylko robię sobie jaja z "płaskich naukowców".
                                  Wiadomo, że nic nie zrobicie.

                                  Bo nie rozumiesz, że "beton" jest właśnie głównie w kręgach "naukowych".
                                  To naukowcy się mylą.
                                  Jakże więc "napisanie do naukowców" może coś zmienić?
                                  Ogarnij się!

                                  Jeśli te 100 czy 200 mln (hehe) płaskoziemców utworzy jakąś organizację i to co napiszą będzie miało sens, to nie mogą zostać niezauważeni.

                                  [Jakbyś napisał do Hitlera "Szanowny Panie Hitlerze Pan jesteś w błędzie" to on by Ci przyklasnął?]

                                  Super porównanie...

                                  Trzeba budować własną naukę, Prawdziwą Naukę. A ona kiedyś się zetrze i zmiażdży tę, która teraz okupuje uniwersytety.

                                  A ta nauka będzie oparta na Biblii pewnie? 😄

                                  1 odpowiedź Ostatnia odpowiedź Odpowiedz Cytuj 0
                                  • Highlander
                                    Highlander @Maciej ostatnio edytowany przez

                                    @Maciej napisał w Maciejowy chaotyczny megawątek:

                                    @Highlander napisał w Maciejowy chaotyczny megawątek:

                                    Natomiast twój świat by się załamał, gdyby się okazało, że nie jest jak w Biblii.

                                    Nie może się tak okazać. Bo jest właśnie tak (jak w Biblii).

                                    Naprawdę jestem ciekaw, czy kiedykolwiek pomyślałeś "co by było gdyby Biblia nie mówiła prawdy" (w temacie kształtu ziemi, kosmosu, ewolucji itp)
                                    Podejrzewam, że boisz się nawet tak pomyśleć, musi to dla ciebie być straszne 😄

                                    Od 2 tysiącleci budowaliście system światopoglądowy sprzeczny z Biblią. A on w ciągu kilku pokoleń runie. I okaże się, że jest tak jak Biblia mówiła.

                                    Bzdura, od 2 tysiącleci powstawała cywilizacja oparta na chrześcijaństwie.
                                    A to, że dzisiaj ludzie już nie chcą, żeby im religię narzucać siłą, to już inna sprawa...

                                    Wasze urojenia już się zaczynają chwiać.
                                    I Ty dobrze to wyczuwasz spierając się ze mną.

                                    Nic nie wyczuwam. Spieram się, bo mam alergię na gadanie głupot.
                                    A z drugiej strony, to co piszesz o religii, szatanie, gwiazdach które spadną na ziemię, to jak kabaret, można się pośmiać 😄

                                    1 odpowiedź Ostatnia odpowiedź Odpowiedz Cytuj 0
                                    • M
                                      Maciej @Highlander ostatnio edytowany przez Maciej

                                      @Highlander napisał w Maciejowy chaotyczny megawątek:

                                      @Maciej napisał w Maciejowy chaotyczny megawątek:

                                      Jesteś idiotą.
                                      Obraz nie może zasłaniać obrazu. Promień światła nie może "zasłaniać innego promienia światła". Mogą się najwyżej nakładać.
                                      [Wtedy widać dwa nakładające się obrazy].
                                      Próg mógłby zasłonić gdyby się naprawdę uniósł.

                                      No chyba, że to obraz ISS wyświetlany na tle tarczy słońca za pomocą magicznej technologii.
                                      Wtedy może zasłaniać 😄

                                      Interferencja wymaga szczególnych zabiegów.
                                      Przypadek nie zrobi interferencji, tzn wygaszania interferencyjnego.

                                      M N 1 odpowiedź Ostatnia odpowiedź Odpowiedz Cytuj 0
                                      • M N
                                        M N @Maciej ostatnio edytowany przez M N

                                        @Maciej napisał w Maciejowy chaotyczny megawątek:

                                        Interferencja wymaga szczególnych zabiegów.
                                        Przypadek nie zrobi interferencji.

                                        Wycięcie dwóch szczelin w przegrodzie albo wrzucenie dwóch kamieni do wody to szczególne zabiegi wg. ciebie? Maciuś, każdym zdaniem potwierdzasz, że nie potrafisz nie kłamać 😂
                                        https://www.youtube.com/watch?v=Iuv6hY6zsd0
                                        A ISS na tle tarczy słońca wygląda tak (w 4K):
                                        https://www.youtube.com/watch?v=lepQoU4oek4&t=225s
                                        i w 1K, ale za to z Buenos Aires:
                                        https://www.youtube.com/watch?v=Qjto0IX6hzI
                                        Więc jak zwykle: pierdolicie Hipolicie, a teraz jeszcze musisz się okłamywać, że i zaćmienie słońca i plamy na nim to interferencja 😂 .

                                        M 1 odpowiedź Ostatnia odpowiedź Odpowiedz Cytuj 0
                                        • M
                                          Maciej @M N ostatnio edytowany przez Maciej

                                          @M-N napisał w Maciejowy chaotyczny megawątek:

                                          @Maciej napisał w Maciejowy chaotyczny megawątek:

                                          Interferencja wymaga szczególnych zabiegów.
                                          Przypadek nie zrobi interferencji.

                                          Wycięcie dwóch szczelin w przegrodzie albo wrzucenie dwóch kamieni do wody to szczególne zabiegi wg. ciebie?

                                          Tak. Jeśli chcesz w danym punkcie wygasić interferencyjnie to musisz precyzyjnie dobrać warunki.

                                          Maciuś, każdym zdaniem potwierdzasz, że nie potrafisz nie kłamać 😂
                                          https://www.youtube.com/watch?v=Iuv6hY6zsd0
                                          A ISS na tle tarczy słońca wygląda tak (w 4K):
                                          https://www.youtube.com/watch?v=lepQoU4oek4&t=225s

                                          No i co?
                                          Widać przy okazji że wygaszanie nie jest zupełne. ISS „prześwituje”. Najwyraźniej jeszcze nie nauczyli się wygasić całego spektrum światła słońca.

                                          M N 1 odpowiedź Ostatnia odpowiedź Odpowiedz Cytuj 0
                                          • M N
                                            M N @Maciej ostatnio edytowany przez M N

                                            @Maciej Prześwituje, a jakże, nieskończona głupota z twoich postów 😂
                                            https://www.youtube.com/watch?v=BE9kHSrk2uk
                                            A tu masz jeszcze tranzyt chińskiej stacji Kosmicznej Tianhe:
                                            https://www.youtube.com/watch?v=wJ4wF6qnEV8

                                            M 1 odpowiedź Ostatnia odpowiedź Odpowiedz Cytuj 0
                                            • Pierwszy post
                                              Ostatni post
                                            Powered by NodeBB | Contributors